
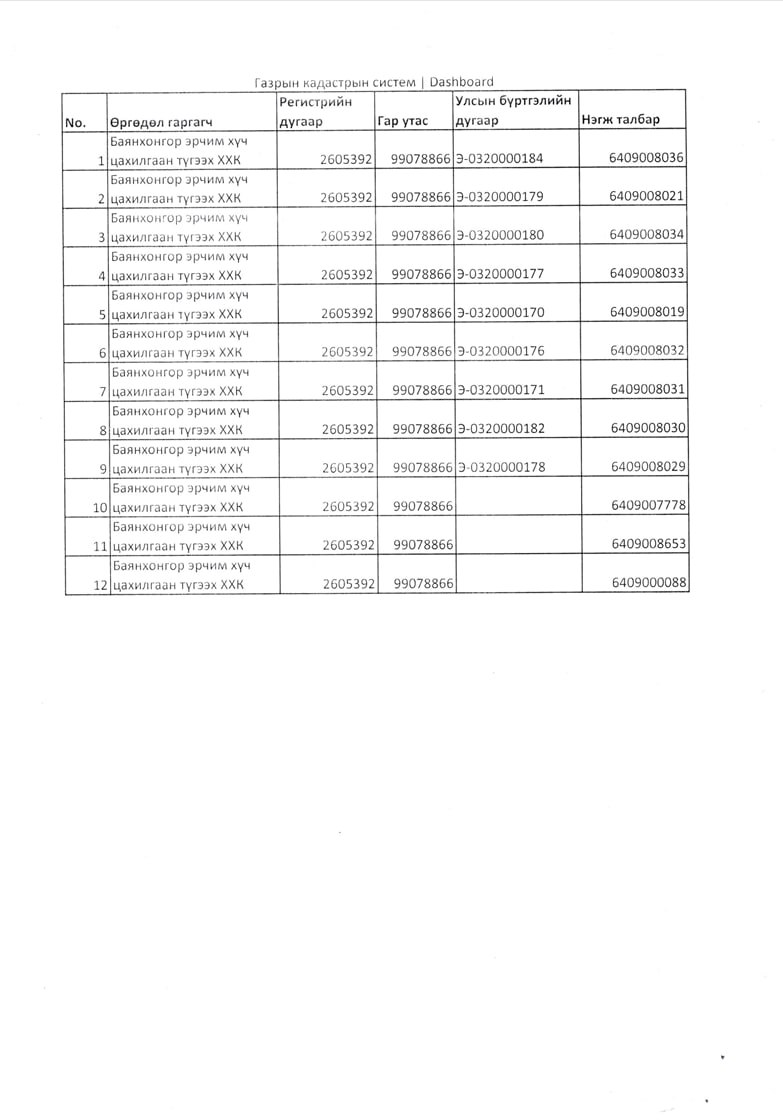
Байгууллагын Баянхонгор аймгийн хэмжээнд эзэмшиж байгаа газрын мэдээллийг жагсаалтаар оруулав.
6-35кВ-ын сүлжээнд шинээр холболт хийлгэх талаарх зөвлөмж
Цахилгаан шугам тоноглолд засвар үйлчилгээ хийх үнэ тариф
Хэрэглэгчийг цахилгаан эрчим хүчинд холбох зөвшөөрлийн хүсэлтийг хэрхэн илгээх вэ?
Техникийн нөхцөл хүссэн тухай тодруулах хуудас авах
Хангах, түгээх, өндөр хүчдэл түгээх болон зураг төсөв.
Цахилгааны төлбөр төлөх дансны дугаарууд






Төлбөрт үйлчилгээний үнэ тариф

